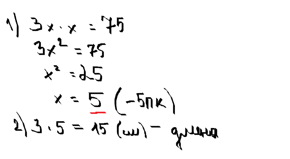
Длина прямоугольника второе больше его ширины,а площадь равна 75см^2.Определите периметр прямоугольника.
Ответы
Ответ дал:
0
Решение во вложениях ;)
___________________________
Приложения:



Вас заинтересует
2 года назад
10 лет назад