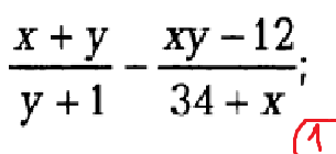
1)Написать программный код в С++ для данного примера, с проверкой на то, что бы в знаменателе не оказался 0 или отрицательное число
2) Написать программный код в C++ все с теме же проверками (что бы не было деления на 0 и т.д.)
Приложения:


Ответа на этот вопрос пока нет. Попробуйте найти его через форму поиска.
Вас заинтересует
2 года назад
2 года назад
7 лет назад
10 лет назад
10 лет назад
10 лет назад
10 лет назад