• Предмет: Алгебра
  • Автор: Аноним
  • Вопрос задан 11 лет назад

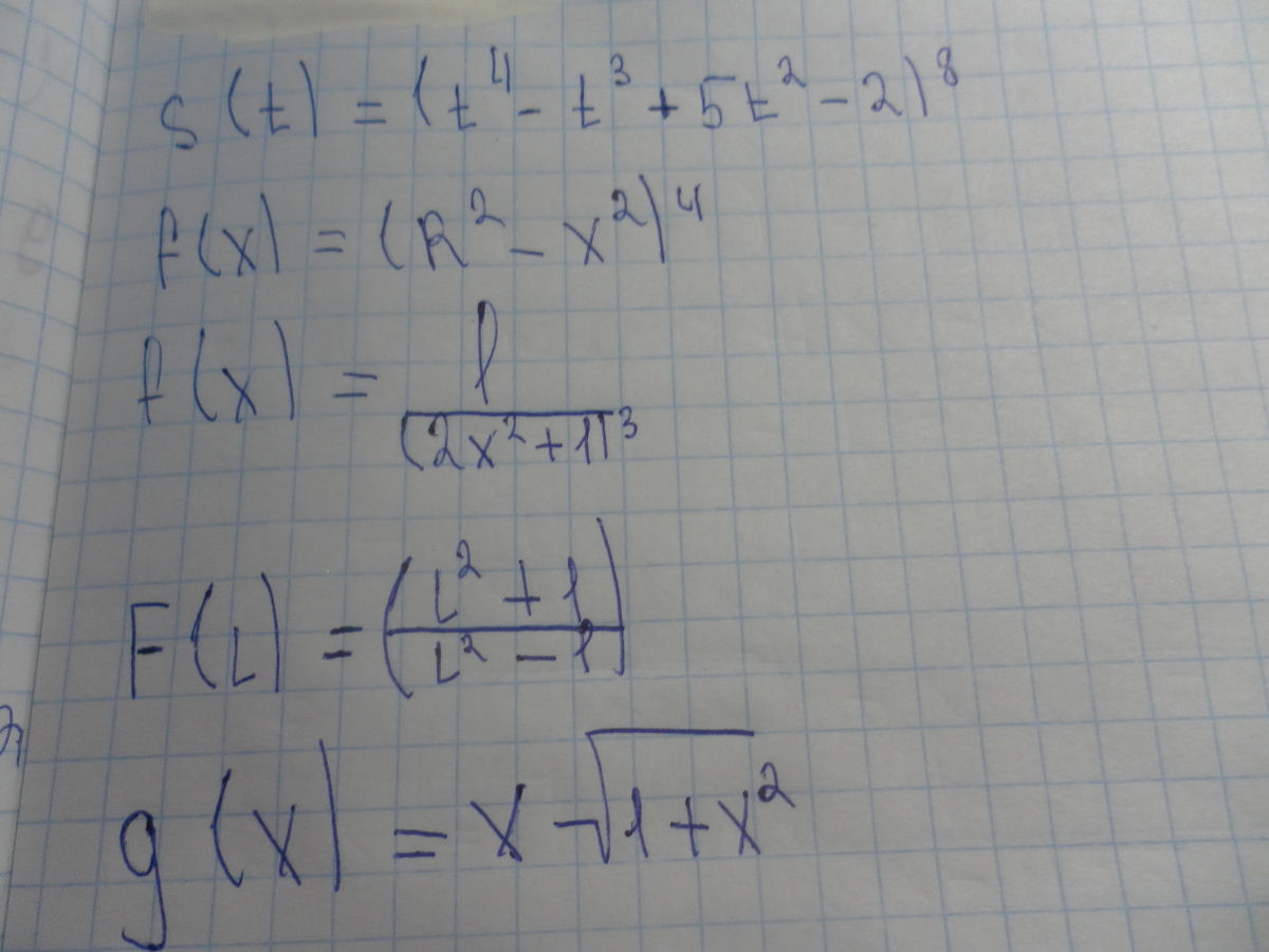
НАЙДИТЕ ПРОИЗВОДНУЮ ДАННОЙ ФУНКЦИИ. МНЕ НАДО РЕШИТЬ ВСЕ ПРИМЕРЫ БЕЗ ИСКЛЮЧЕНИЯ!

Приложения:

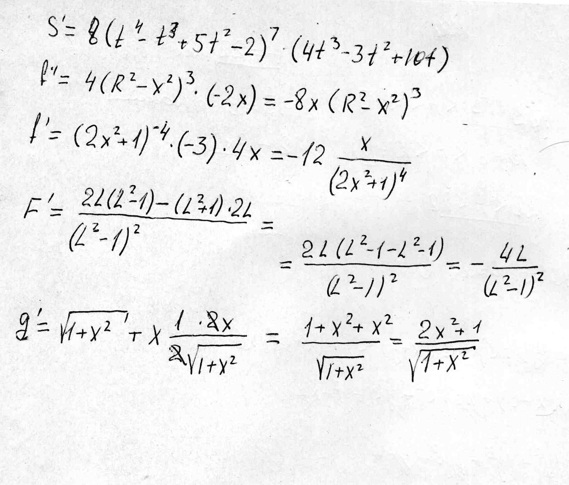
Ответы

Ответ дал: Гоша68
0

решение в файле........................................

Приложения:
Вас заинтересует