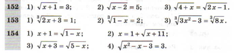
Помогите надо решить несколько иррациональных уравнений буду очень благодарен если поможете.
Приложения:

Ответы
Ответ дал:
0
Решение смотри в приложении
Приложения:


Ответ дал:
0
А можешь проверки можешь ещё кинуть?
Вас заинтересует
2 года назад
7 лет назад
10 лет назад
10 лет назад