• Предмет: Алгебра
  • Автор: Stasya36
  • Вопрос задан 11 лет назад

системы уравнений

2x-y+10=0

x-3y+1=0

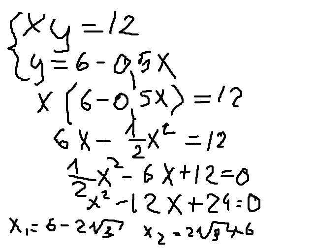
xy=12

0.5x+y=6

Ответы

Ответ дал: anonymys1
0

решение во вложениии))))))))

Приложения:
Ответ дал: gromoff97
0

насколько я понял, там 2 системы...

Приложения:
Вас заинтересует