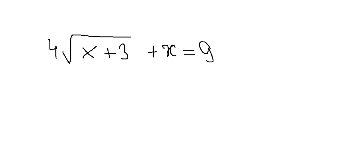
Укажите промежуток,содержащий все корни уравнения
1) (1,5; 32) 2) (32;+∞) 3) (-∞; 0,5) 4) (0,5; 1,5)
Приложения:
Ответа на этот вопрос пока нет. Попробуйте найти его через форму поиска.
Вас заинтересует
3 года назад
3 года назад
8 лет назад
8 лет назад
10 лет назад
10 лет назад
11 лет назад
11 лет назад