• Предмет: Алгебра
  • Автор: lena198155
  • Вопрос задан 10 лет назад

30 баллов! Срочно, пожалуйста с решением:
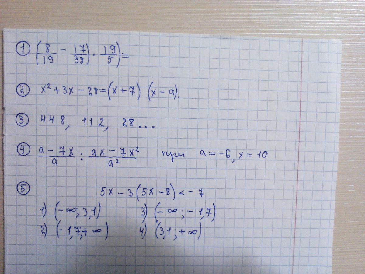
1) Найти значение выражения.
2)Квадратный трехчлен разложен на ножители. Найти: а.
3) Выписаны первые несколько членов геометрической прогрессии: 418, 112, 28... . Найти сумму первых четырех её членов.
4) Найти значение выражения.
5) Укажите решение неравенства.( Решение показать)
6) Решите уравнение (х²-25)² + (х²+ 3х-10)²=0

Приложения:

Ответы

Ответ дал: irkarom
0
1) (frac8{19}-frac{17}{38})*frac{19}{5}=frac{16-17}{38}*frac{19}{5}=-frac{1}{38}*frac{19}{5}=-frac1{10}\
\
2) x^2+3x-28=0\
D=3^2-4*(-28)=9+112=121=11^2\
x_1=frac{-3-11}2=-7\
x_2=frac{-3+11}2=4\
x^2+3x-28=(x+7)(x-4)\
a=4\
\
3)448,  112,  28,  ...\
q=frac{112}{448}=frac14=0.25\
S_n=frac{b_1*(1-q^n)}{1-q}\
S_4=frac{448*(1-(frac14)^4)}{1-frac14}=frac{448*(1-frac{1}{256})}{frac34}=frac{448*frac{255}{256}}{frac34}=frac{7*255}{4}*frac{4}{3}=85*7=595\
\
jk

4)frac{a-7x}{a}:frac{ax-7x^2}{a^2}=frac{a-7x}{a}*frac{a^2}{ax-7x^2}=frac{a-7x}{a}*frac{a^2}{x(a-7x)}=frac{a}x=frac{-6}{10}=-0.6\
\
5)5x-3(5x-8) textless  -7\
5x-15x+24 textless  -7\
-10x textless  -7-24\
-10x textless  -31  |:(-10)\
x textgreater  3.1
ответ: х ∈ (3,1; +∞)

6) (x^2-25)^2+(x^2+3x-10)^2=0\
(x^2-25)^2=-(x^2+3x-10)^2\
x^2-25=-(x^2+3x-10)\
x^2-25=-x^2-3x+10\
x^2-25+x^2+3x-10=0\
2x^2+3x-35=0 \
D=3^2-4*2*(-35)=9+280=289\
x_1=frac{-3+17}{4}=3.5\
x_2=frac{-3-17}{4}=-5
ответ: -5 и 3,5
Ответ дал: irkarom
0
обнови страницу
Ответ дал: lena198155
0
Спасибо большое)
Вас заинтересует