Помогите пожалуйста!
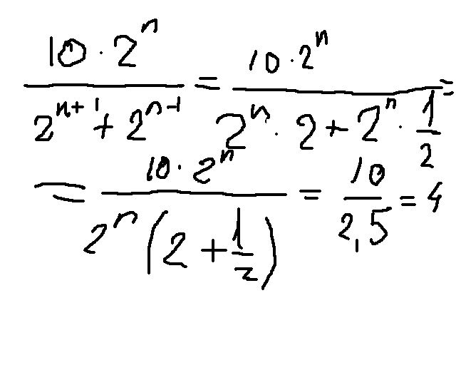
10*2(в степени n)
--------------------------
2(в cтепени n+1)+2(в степени n-1)
Ответы
Ответ дал:
0
решение во вложении))))))))
Приложения:

Ответ дал:
0
Приложения:

Вас заинтересует
2 года назад
2 года назад
8 лет назад
8 лет назад
10 лет назад
10 лет назад