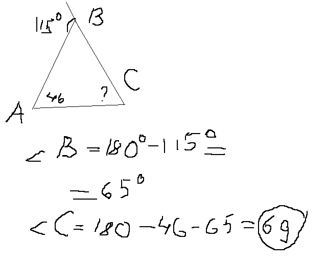
В треугольнике ABC угол a равен 46 градусов ,внешний угол при вершине B равен 115 градусов . Найдите градусную меру угла C
Ответы
Ответ дал:
0
115-46=69 градуса - угол С
Ответ: 69 градусов
Ответ дал:
0
решение во вложении)))))
Приложения:

Вас заинтересует
2 года назад
10 лет назад
10 лет назад