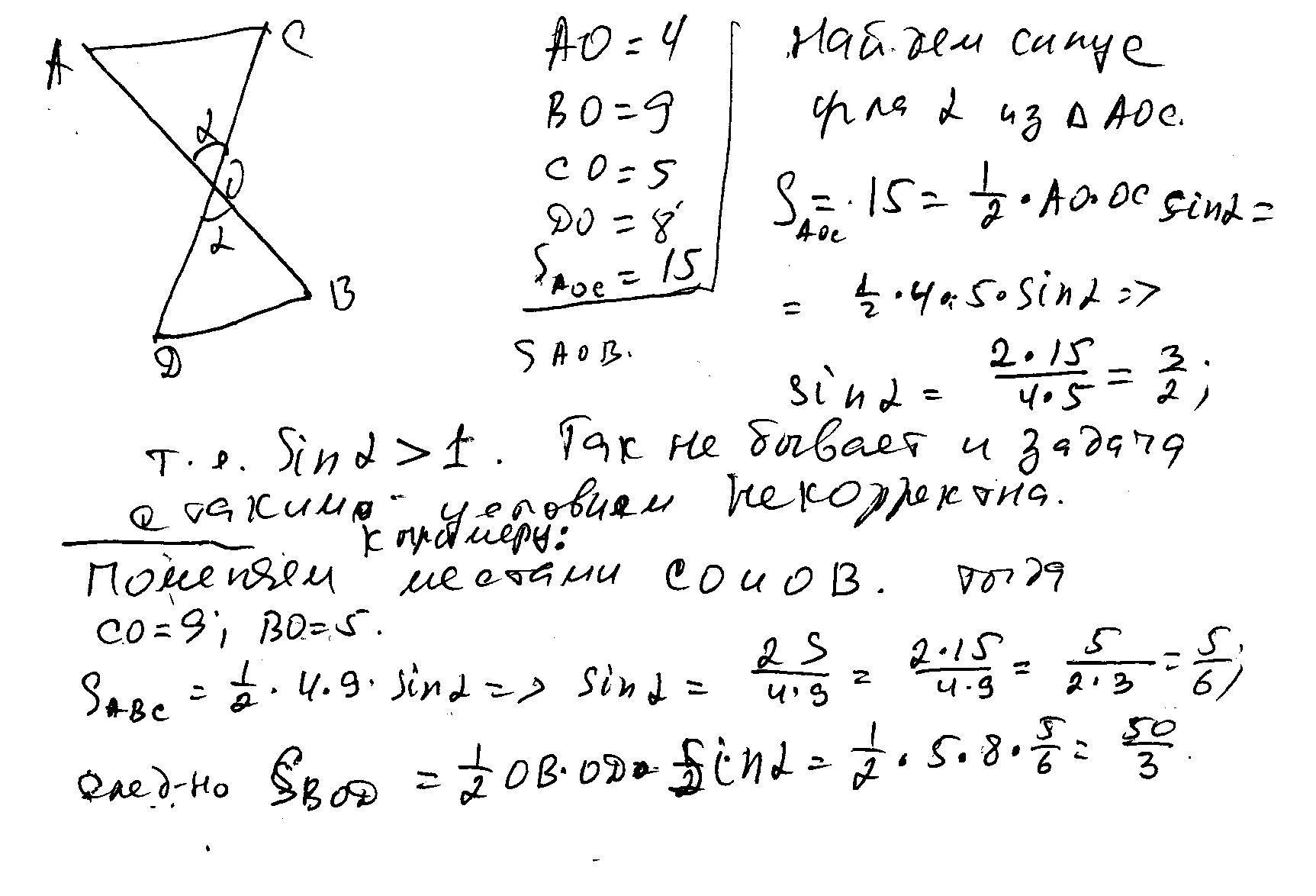
Дано: AO=4,BO=9,CO=5,DO=8. площадь AOC = 15.
Найти площадь BOD.
Пожалуйста, очень надо, завтра урок!
Ответы
Ответ дал:
0
Задача с таким условием некорректна, потому что приводит к синусу угла больше единицы. В скане показал невозможность существования такого треугольника и решение с измененным условием. В инете ходит эта задачка с неверным решением. Рисунка не нашел.
Приложения:

Вас заинтересует
2 года назад
2 года назад
7 лет назад
7 лет назад
10 лет назад
10 лет назад
10 лет назад