Неравенство! 35 БАЛЛОВ! ОЧЕНЬ, ОЧЕНЬ СРОЧНО, ПОМОГИТЕ ПОЖАЛУЙСТА!!
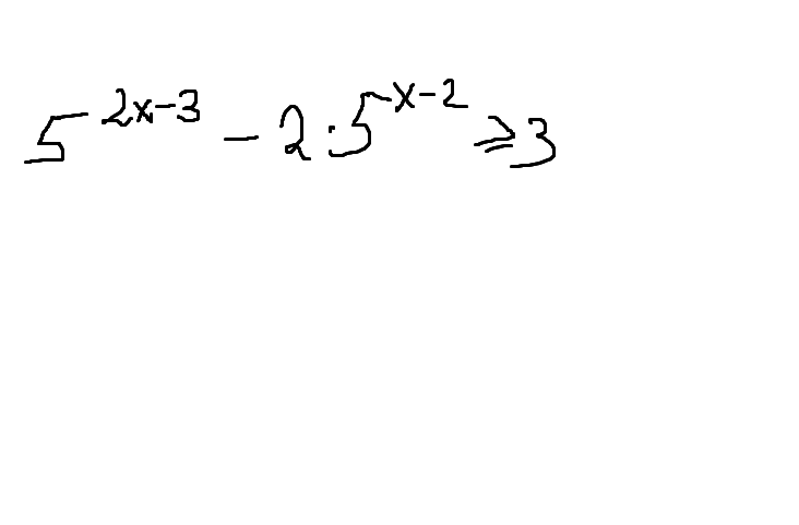
Нужно решить
Заранее просто огромное спасибо :з
Приложения:
Ответы
Ответ дал:
0
-----------------------------------------------
Приложения:
Вас заинтересует
3 года назад
3 года назад
8 лет назад
8 лет назад
10 лет назад
11 лет назад