• Предмет: Алгебра
  • Автор: andreypetrov
  • Вопрос задан 11 лет назад

Как решить рациональное дробное уравнение?

Я привел пример, я пытаюсь разобраться с новой темой для меня, просьба писать не только решение, но и описывать как вы это сделали, что искали и т.д.

 

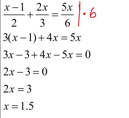
frac{x-1}{2} + frac{2x}{3} = frac{5x}{6}

Ответы

Ответ дал: Аноним
0

всё очень просто!

нужно умножить на общий делитель знаменателей, т.е. 6

6/2=3

6/3=2

6/6=1

 

см.влож

==================

 

Приложения:
Вас заинтересует