• Предмет: Физика
  • Автор: Karas10
  • Вопрос задан 11 лет назад

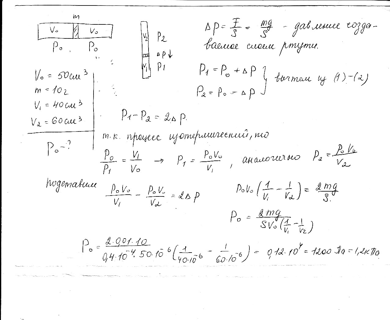
Определите  давление  газа  в  горизонтальной  закрытой  трубке  сечением  0,4 см2, разделенной  столбиком  ртути  массой  10 г  на два  объема  по  50 см3, если  при  повороте  трубки в  вертикальное  положение  нижний  объем  равен  40 см3. Температура  газа постоянна.

Ответы

Ответ дал: константиновна
0

смотри решение во вложении

Приложения:
Вас заинтересует