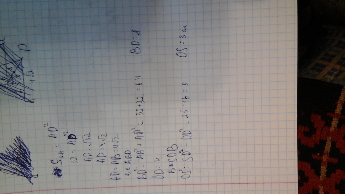
площадь квадрата ABCD равна 32 см квадратных.Точка S удалена от каждой из его вершин на 5 см.Найдите расстояние о точки S до плоскости квадрата.
Ответы
Ответ дал:
0
здесь решение и рисунок. если что то непонятно - обращайтесь)
Приложения:


Ответ дал:
0
спасибо .все понятно.
Вас заинтересует
2 года назад
2 года назад
7 лет назад
7 лет назад
10 лет назад
10 лет назад