• Предмет: Алгебра
  • Автор: yannnaaaa
  • Вопрос задан 11 лет назад

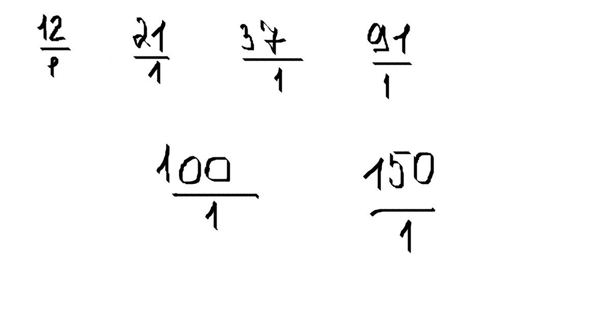
представить в виде дроби число 12,21,37,91,100,150

Ответы

Ответ дал: ЭндиКукс
0

________________________________________________________________

Приложения:
Ответ дал: Аноним
0

12 ;  21;  37;    91;   100;   150

 1       1     1      1        1         1

Приложения:
Вас заинтересует