Привет! Помогите, пожалуйста с решение.
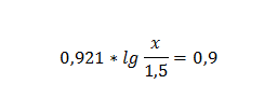
0,921*lg(x/1,5)=0,9
Ответ должен быть 14,2328
Нужно решение, желательно подробное, заранее спасибо.
Приложения:
Ответы
Ответ дал:
0
Решение
0,921 * lg(x/1,5) = 0,9
lgx - lg(1,5) = 9/9,21
lgx = 900/921 + lg1,5
lgx = 300/307 + 0,1761
lgx = 0,9772 + 0,1761
lgx = 1,1733
x = 10^(1,1733)
x = 14,9039
0,921 * lg(x/1,5) = 0,9
lgx - lg(1,5) = 9/9,21
lgx = 900/921 + lg1,5
lgx = 300/307 + 0,1761
lgx = 0,9772 + 0,1761
lgx = 1,1733
x = 10^(1,1733)
x = 14,9039
Вас заинтересует
3 года назад
3 года назад
8 лет назад
10 лет назад
10 лет назад
11 лет назад