• Предмет: Алгебра
  • Автор: Громова203
  • Вопрос задан 10 лет назад

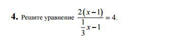
нужна помощь с полным решением

Приложения:

Ответа на этот вопрос пока нет. Попробуйте найти его через форму поиска.

Вас заинтересует