Ответы
Ответ дал:
0
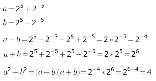
это формула "разность квадратов"...
при умножении степеней с одинаковым основанием
показатели степени складываются...
при умножении степеней с одинаковым основанием
показатели степени складываются...
Приложения:
Вас заинтересует
3 года назад
8 лет назад
10 лет назад
10 лет назад
11 лет назад