ПРОШУ ПОМОЧЬ С ТРИГОНОМЕТРИЕЙ
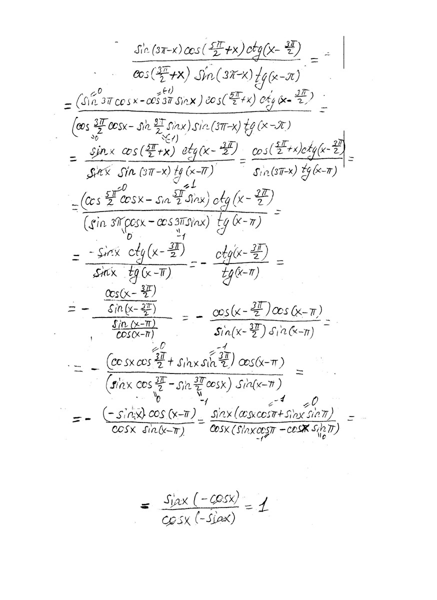
(sin (3pi-x)*cos(5pi/2+x)*ctg(x-3pi/2))/(cos(3pi/2+x)*sin(3pi-x)*tg(x-pi))
Ответы
Ответ дал:
0
Решение в приложении. Должно быть понятно.
Приложения:

Вас заинтересует
2 года назад
2 года назад
7 лет назад
7 лет назад
10 лет назад
10 лет назад