• Предмет: Алгебра
  • Автор: LeMoN7771
  • Вопрос задан 10 лет назад

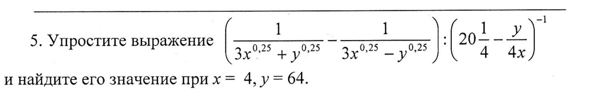
Помогите решить!!!ПОМОГИТЕ СРОЧНО!!!!

Приложения:

Ответа на этот вопрос пока нет. Попробуйте найти его через форму поиска.

Вас заинтересует