• Предмет: Алгебра
  • Автор: ArukaKid
  • Вопрос задан 10 лет назад

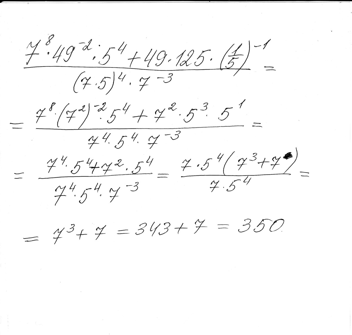
помогите решить 1) ответ должен быть 350

Приложения:

Ответы

Ответ дал: ТаняМаксимум
0
Решение в прикрепленном файле
Приложения:
Вас заинтересует