• Предмет: Алгебра
  • Автор: daryshka
  • Вопрос задан 10 лет назад

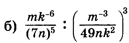
Выполните, пожалуйста, действия

Приложения:

Ответы

Ответ дал: Veveta
0
[m×k^(-6)×(7²nk²)³]÷(7^5×n^5×k^9)=7/n²×m^8
Вас заинтересует