Ответы
Ответ дал:
0
Решение смотри в приложении
Приложения:


Ответ дал:
0
спасибо !!!!!
Ответ дал:
0
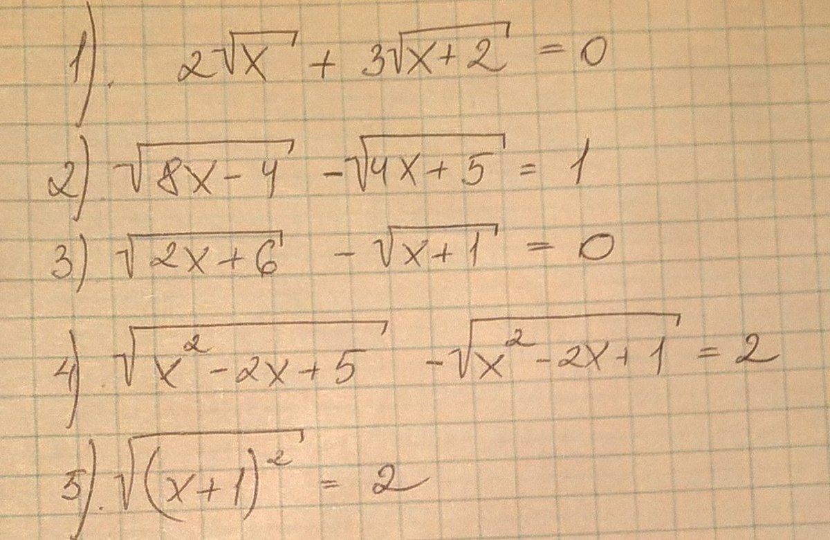
1)2√х+3√(х+2)=0
ОДЗ
{x≥0
{x+2≥0⇒x≥-2
x∈[0;∞)
Равенство 0 возможно только в случае,если каждое слагаемое равно 0
2√х=0⇒х=0
3√(х+2)=0⇒х=-2
нет решения
2)ОДЗ
{8x-4≥0 ⇒8x≥4⇒x≥0,5
{4x+5≥0⇒4x≥-5⇒x≥-1,25
x∈[0,5;∞)
√(8x-4)=1+√(4x+5)
8x-4=1+2√(4x+5)+4x+5
2√(4x+5)=4x-10
√(4x+5)=2x-5
2x-5≥0⇒2x≥5⇒x≥2,5
x∈[2,5;∞)
4x+5=4x²-20x+25
4x²-24x+20=0
x²-6x+5=0
x1+x2=6 U x1*x2=5
x1=1∉ОДЗ
x2=5
3)ОДЗ
{2x+6≥0 ⇒2x≥-6⇒x≥-3
{x+1≥0⇒x≥-1
x∈[-1;∞)
√(2x+6)=√(x+1)
2x+6=x+1
2x-x=1-6
x=-5∉ОДЗ
нет решения
4)ОДЗ
x²-2x+5≥0
D=4-20=-16<0⇒х-любое
x²-2x+1≥0
(x-1)²≥0⇒х-любое
√(x²-2x+5)=|x-1|+2
a)x<1
√(x²-2x+5)=-x+3
x²-2x+5-9+6x-x²=0
4x=4
x=1
нет решения
b)x≥1
√(x²-2x+5)=x+1
x²-2x+5-x²-2x-1=0
-4x=-4
x=1
5)|x+1|=2
x+1=-2⇒x=-3
x+1=2⇒x=1
ОДЗ
{x≥0
{x+2≥0⇒x≥-2
x∈[0;∞)
Равенство 0 возможно только в случае,если каждое слагаемое равно 0
2√х=0⇒х=0
3√(х+2)=0⇒х=-2
нет решения
2)ОДЗ
{8x-4≥0 ⇒8x≥4⇒x≥0,5
{4x+5≥0⇒4x≥-5⇒x≥-1,25
x∈[0,5;∞)
√(8x-4)=1+√(4x+5)
8x-4=1+2√(4x+5)+4x+5
2√(4x+5)=4x-10
√(4x+5)=2x-5
2x-5≥0⇒2x≥5⇒x≥2,5
x∈[2,5;∞)
4x+5=4x²-20x+25
4x²-24x+20=0
x²-6x+5=0
x1+x2=6 U x1*x2=5
x1=1∉ОДЗ
x2=5
3)ОДЗ
{2x+6≥0 ⇒2x≥-6⇒x≥-3
{x+1≥0⇒x≥-1
x∈[-1;∞)
√(2x+6)=√(x+1)
2x+6=x+1
2x-x=1-6
x=-5∉ОДЗ
нет решения
4)ОДЗ
x²-2x+5≥0
D=4-20=-16<0⇒х-любое
x²-2x+1≥0
(x-1)²≥0⇒х-любое
√(x²-2x+5)=|x-1|+2
a)x<1
√(x²-2x+5)=-x+3
x²-2x+5-9+6x-x²=0
4x=4
x=1
нет решения
b)x≥1
√(x²-2x+5)=x+1
x²-2x+5-x²-2x-1=0
-4x=-4
x=1
5)|x+1|=2
x+1=-2⇒x=-3
x+1=2⇒x=1
Приложения:


Ответ дал:
0
Светлана , знак U -знак об'единения , а знак пересечения - ⋂ .
Ответ дал:
0
A нарушение зачем ?
Ответ дал:
0
убрала
Вас заинтересует
2 года назад
2 года назад
7 лет назад
10 лет назад
10 лет назад
10 лет назад