• Предмет: Математика
  • Автор: vladddda
  • Вопрос задан 10 лет назад

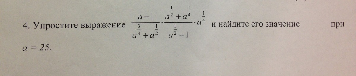
Помогите пожалуйста упростить выражение

Приложения:

Ответы

Ответ дал: Regent1828
0
 frac{a-1}{a^{ frac{3}{4} }+a^{ frac{1}{2} }  }* frac{a^{ frac{1}{2} }+a^{ frac{1}{4} }  }{a^{ frac{1}{2} }+1 }*a^{ frac{1}{4} }=    frac{(a-1)(a^{ frac{1}{2} }+a^{ frac{1}{4} })*a^{ frac{1}{4} }   }{(a^{ frac{3}{4} }+a^{ frac{1}{2} })(a^{ frac{1}{2} }+1)   }=  frac{(a-1)(a^{ frac{3}{4} }+a^{ frac{1}{2} })  }{(a^{ frac{3}{4} }+a^{ frac{1}{2} })(a^{ frac{1}{2} }+1)  }=  frac{a-1}{a^{ frac{1}{2} }+1 }= frac{(a^{ frac{1}{2} }+1)(a^{ frac{1}{2} }-1)  }{a^{ frac{1}{2} }+1 }=  a^{ frac{1}{2} }-1= sqrt{a} -1

При а = 25:   sqrt{25}-1=4
Вас заинтересует