• Предмет: Алгебра
  • Автор: Лидуся1
  • Вопрос задан 10 лет назад

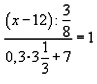
Решите уравнение, пожалуйста

Приложения:

Ответы

Ответ дал: karmelita1953
0


о,3* 3 1/3=3/10*10/3=1

1+7=8

(х-12): 3/8=8

х-12=8* 3/8

х-12=3

х=15

Вас заинтересует