• Предмет: Математика
  • Автор: Аноним
  • Вопрос задан 10 лет назад

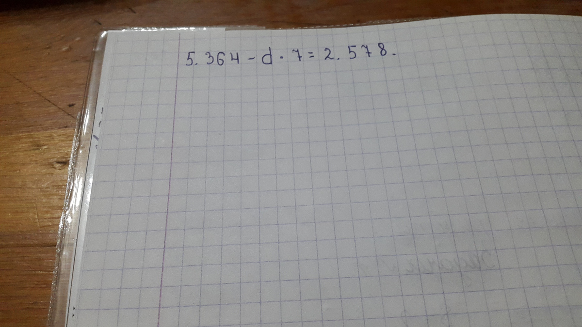
Как решить это уравнение не могу подумать

Приложения:

Ответы

Ответ дал: Аноним
0
5,364 - 7d=2,578
-7d=-2,786
d=0,398
Ответ дал: Аноним
0
Не правильно
Ответ дал: Аноним
0
Почему это? Проверка:
Ответ дал: Аноним
0
проверка такой не бывает
Ответ дал: Аноним
0
5,364 - 7*0,398 = 5,364 - 2,786 = 2,578
Ответ дал: Аноним
0
Что не так?
Вас заинтересует