• Предмет: Алгебра
  • Автор: anonymys1
  • Вопрос задан 11 лет назад

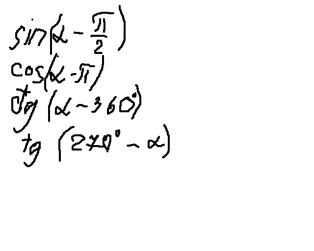
задание на формулы приведения упростить выражения см. во вложении если можно поподробней

Приложения:

Ответы

Ответ дал: andry444
0

1)=sin(-(п/2-альфа)=-cosальфа

2)=cos(-(п-альфа)=-cosальфа

3)=ctg(-(2п-альфа)=ctgальфа

4)=tg(3п/2-альфа)= ctgальфа

Вас заинтересует