• Предмет: Алгебра
  • Автор: vovanhcik1999
  • Вопрос задан 10 лет назад

очень срочно нужно, по баллам видно, помогите пожалуйста

Приложения:

Ответы

Ответ дал: Amenna
0
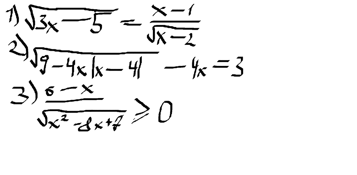
(3x-5)=(x-1)^2/(x-2)
x²-2x+1=3x²-11x+10
2x²-9x+9=0
√D=3
x₁=3 x₂=1.25
Ответ дал: vovanhcik1999
0
а дальше?
Ответ дал: Amenna
0
щас
Ответ дал: vovanhcik1999
0
ок
Ответ дал: vovanhcik1999
0
ну так что?
Ответ дал: vovanhcik1999
0
а другие примеры, уже только второй нужен третий я сделал
Вас заинтересует