Ответы
Ответ дал:
0
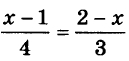
Обе части домножаешь на 12:
3(x-1)=4(2-x)
3x-3=8-4x
3x+4x=8+3
7x=11
x=11/7
3(x-1)=4(2-x)
3x-3=8-4x
3x+4x=8+3
7x=11
x=11/7
Вас заинтересует
3 года назад
3 года назад
8 лет назад
8 лет назад
10 лет назад
10 лет назад
11 лет назад