• Предмет: Математика
  • Автор: Митчел
  • Вопрос задан 10 лет назад

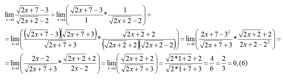
 lim_{x to   1  }   frac{sqrt{2x+7}-3}{ sqrt{2x+2}-2 }
Помогите решить предел функции
Решение только письменно, пожалуйста

Ответы

Ответ дал: IUV
0
смотри решение во вложении
Приложения:
Ответ дал: Митчел
0
спасибо огомнейшнее
Ответ дал: IUV
0
на здоровье.
есть и 2 способ решения - при помощи правила Лопиталля
Ответ дал: Митчел
0
он легче?
Ответ дал: IUV
0
там нужно искать производную от числителя и производную от знаменателя
Вас заинтересует