Ответы
Ответ дал:
0
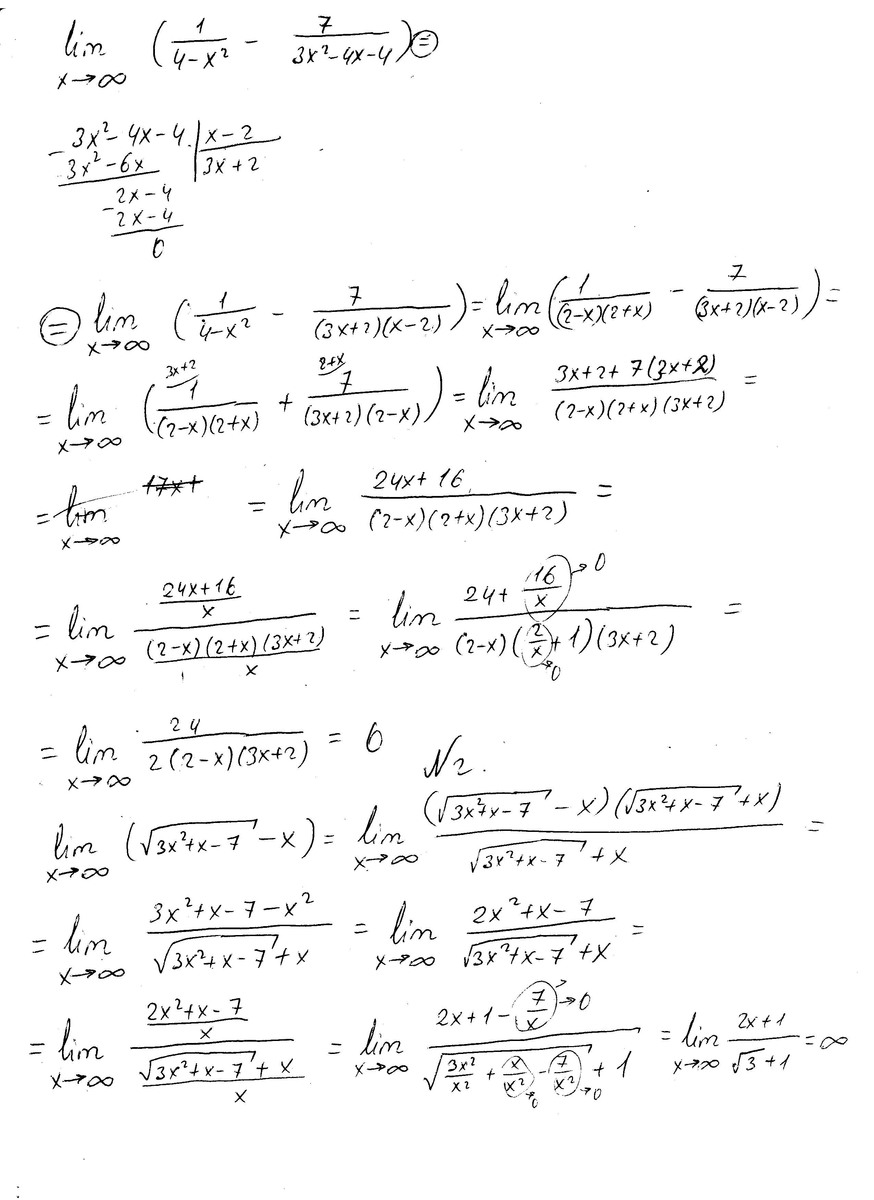
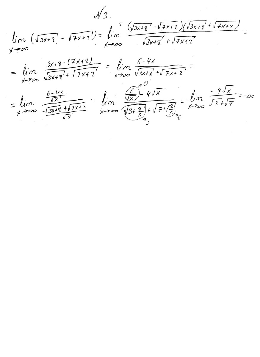
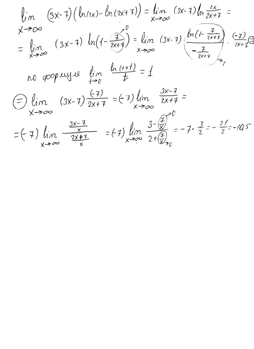
Решение в приложении. Последний предел не очень понятен. Там разделить на логарифмы?
Приложения:



Вас заинтересует
2 года назад
2 года назад
10 лет назад
10 лет назад