• Предмет: Математика
  • Автор: mrrromggg
  • Вопрос задан 11 лет назад

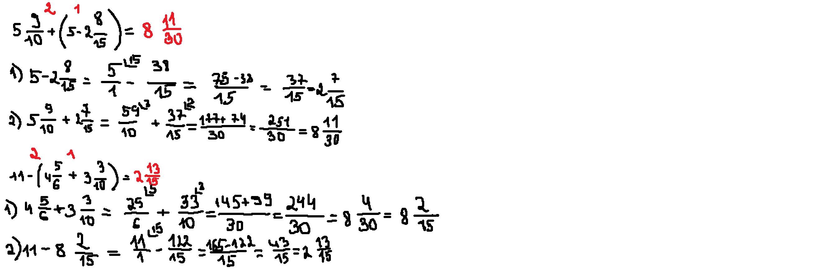
5целых9/10+(5-2целых8/15)

 

11-(4целых5/6+3целых3/10)

 

Решите плззз :)

Ответы

Ответ дал: МАрИйКа14
0

Решение во вложении.

Рассписала все подробно.

Приложения:
Вас заинтересует