• Предмет: Алгебра
  • Автор: Tispun
  • Вопрос задан 10 лет назад

Алгебра. :с
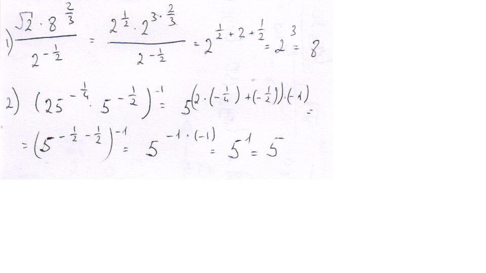
Вычислить:

Приложения:

Ответы

Ответ дал: ewgenijbark
0
см. вложение
\\\\\\\\\\\
Приложения:
Ответ дал: AlexMilk
0
ля столько времени думал, а оказывается в числителе под а) умножить ._.
Ответ дал: ewgenijbark
0
так всегда, стопоримся на мелочах)))
Вас заинтересует