Ответы
Ответ дал:
0
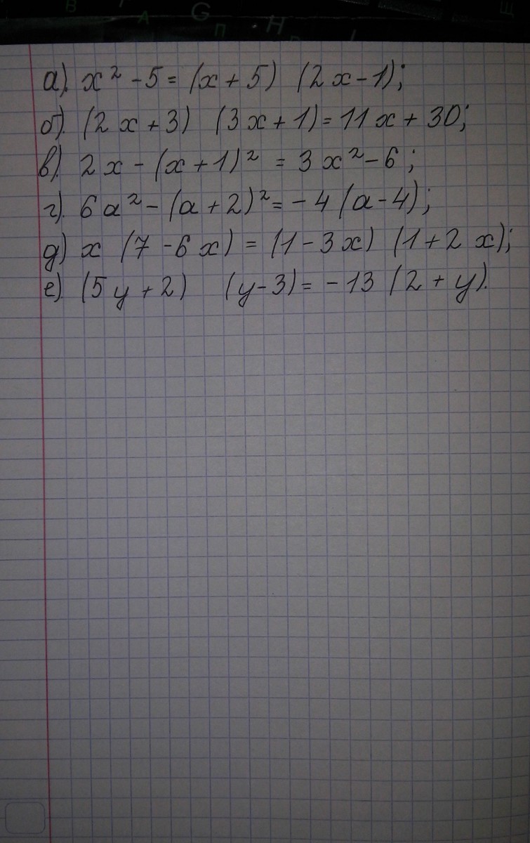
а) x²-5=(x+5)(2x-1)
x²-5=2x²+10x-x-5
x²-5=2x²+9x-5
x²-2x²-9x-5+5=0
-x²-9x=0
x²+9x=0
x(x+9)=0
x=0 x+9=0
x= -9
Ответ: -9; 0.
б) (2х+3)(3х+1)=11х+30
6х²+9х+2х+3=11х+30
6х²+11х+3=11х+30
6х²+11х-11х+3-30=0
6х²-27=0
6х²=27
х²=27/6
х²=9/2
х₁= √(9/2) = 3/√2
х₂= -3/√2
Ответ: -3/√2; 3/√2
в) 2x-(x+1)² =3x²-6
2x-x²-2x-1=3x²-6
-x²-1=3x²-6
-x²-3x²=-6+1
-4x²=-5
x²= -5/(-4)
x²= 1.25
x₁= √1.25
x₂= -√1.25
Ответ: -√1,25; √1,25
г) 6a²-(a+2)²= -4(a-4)
6a²-a²-4a-4=-4a+16
5a²-4a-4=-4a+16
5a²-4a+4a-4-16=0
5a²-20=0
5a²=20
a²=4
a₁=2
a₂= -2
Ответ: -2; 2
д) x(7-6x)=(1-3x)(1+2x)
7x-6x² = 1-3x+2x-6x²
7x-6x² = 1-x-6x²
-6x²+6x²+7x+x=1
8x=1
x=1/8
Ответ: 1/8
е) (5y+2)(y-3)=-13(2+y)
5y²+2y-15y-6=-26-13y
5y²-13y-6=-26-13y
5y²-13y+13y=-26+6
5y²=-20
y²=-4
нет решений
Ответ: нет решений.
x²-5=2x²+10x-x-5
x²-5=2x²+9x-5
x²-2x²-9x-5+5=0
-x²-9x=0
x²+9x=0
x(x+9)=0
x=0 x+9=0
x= -9
Ответ: -9; 0.
б) (2х+3)(3х+1)=11х+30
6х²+9х+2х+3=11х+30
6х²+11х+3=11х+30
6х²+11х-11х+3-30=0
6х²-27=0
6х²=27
х²=27/6
х²=9/2
х₁= √(9/2) = 3/√2
х₂= -3/√2
Ответ: -3/√2; 3/√2
в) 2x-(x+1)² =3x²-6
2x-x²-2x-1=3x²-6
-x²-1=3x²-6
-x²-3x²=-6+1
-4x²=-5
x²= -5/(-4)
x²= 1.25
x₁= √1.25
x₂= -√1.25
Ответ: -√1,25; √1,25
г) 6a²-(a+2)²= -4(a-4)
6a²-a²-4a-4=-4a+16
5a²-4a-4=-4a+16
5a²-4a+4a-4-16=0
5a²-20=0
5a²=20
a²=4
a₁=2
a₂= -2
Ответ: -2; 2
д) x(7-6x)=(1-3x)(1+2x)
7x-6x² = 1-3x+2x-6x²
7x-6x² = 1-x-6x²
-6x²+6x²+7x+x=1
8x=1
x=1/8
Ответ: 1/8
е) (5y+2)(y-3)=-13(2+y)
5y²+2y-15y-6=-26-13y
5y²-13y-6=-26-13y
5y²-13y+13y=-26+6
5y²=-20
y²=-4
нет решений
Ответ: нет решений.
Вас заинтересует
3 года назад
3 года назад
8 лет назад
8 лет назад
10 лет назад
10 лет назад
11 лет назад
11 лет назад