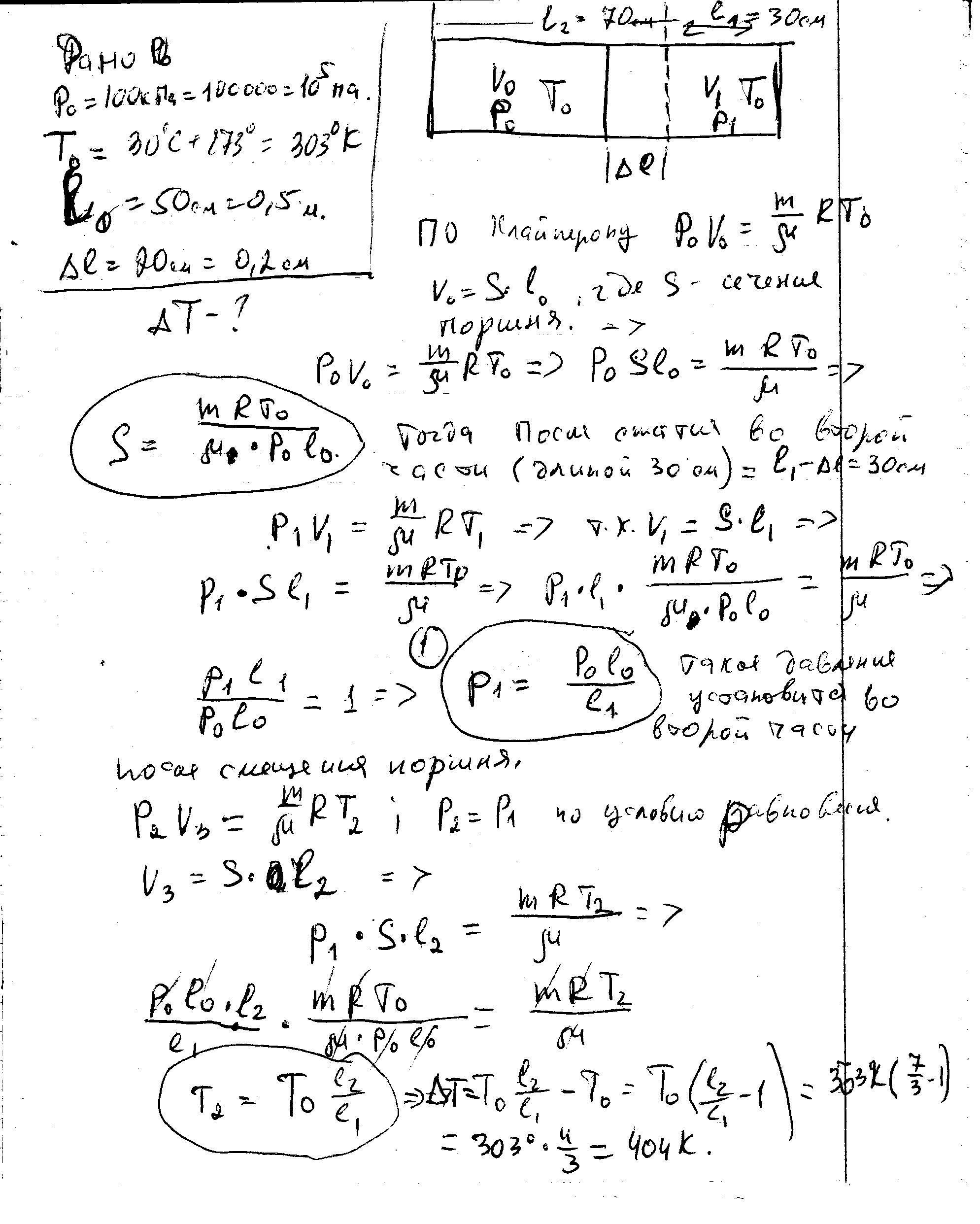
Закрытый с обоих концов цилиндр наполнен газом при давлении 100 кПа и температуре 30 С и разделен легкоподвижным поршнем на две равные части длиной по 50 см. На какую величину ΔТ нужно повысить температуру газа в одной половине цилиндра, чтобы поршень сместился на расстояние 20 см, если во второй половине цилиндра температура не изменилась.
Ответы
Ответ дал:
0
Странное ощущение неправильности, но причину не нахожу.
Приложения:

Вас заинтересует
2 года назад
10 лет назад
10 лет назад
10 лет назад