• Предмет: Алгебра
  • Автор: nagibator9810
  • Вопрос задан 10 лет назад

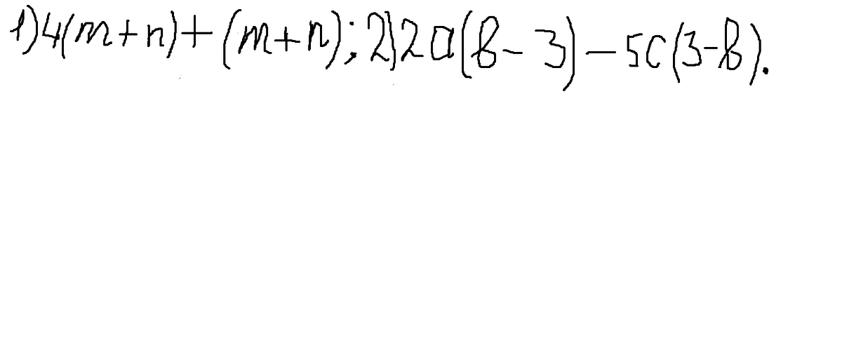
разложить на множители

Приложения:

Ответы

Ответ дал: Aidochka11
0
1)4m+4n+(m+n) 2) 2ab-6 -15c+ 5cb
Ответ дал: Aidochka11
0
Кто бы мне помог
Ответ дал: nagibator9810
0
будишь помогать а я может тебе если я смогу
Ответ дал: nagibator9810
0
ты в каком классе
Ответ дал: nagibator9810
0
а?
Ответ дал: Aidochka11
0
извини не видела, в 8)
Вас заинтересует