Ответы
Ответ дал:
0
Решение смотри в приложении
Приложения:

Ответ дал:
0
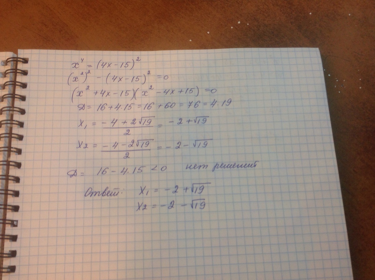
Применим формулу a²-b²=(a-b)(a+b)
x^4-(4x-15)²=0
(x²-4x+15)(x²+4x-15)=0
x²-4x+15=0
D=16-60=-44<0 нет решения
x²+4x-15=0
D=16+60=76
√D=2√19
x1=(-4-2√19)/2=-2-√19
x2=-2+√19
x^4-(4x-15)²=0
(x²-4x+15)(x²+4x-15)=0
x²-4x+15=0
D=16-60=-44<0 нет решения
x²+4x-15=0
D=16+60=76
√D=2√19
x1=(-4-2√19)/2=-2-√19
x2=-2+√19
Приложения:

Вас заинтересует
2 года назад
2 года назад
7 лет назад
7 лет назад
10 лет назад