Ответы
Ответ дал:
0
Надеюсь поймешь:D Писал как мог...
Приложения:

Ответ дал:
0
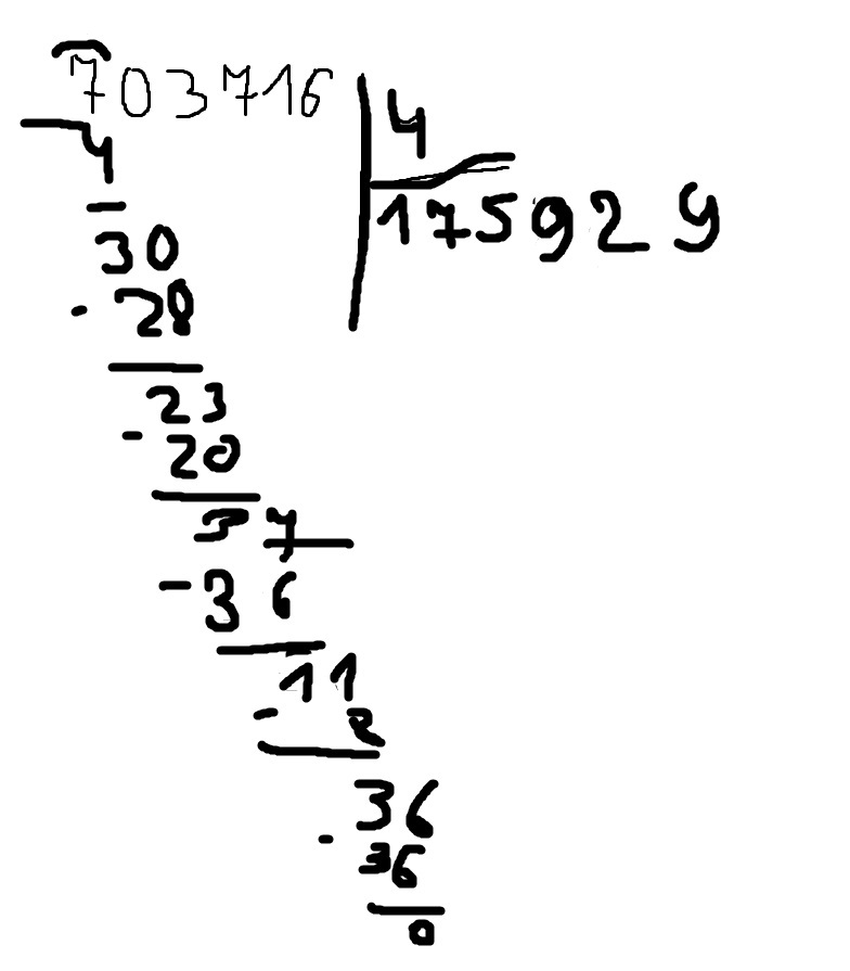
703716/4
-4
30
-28
23
-20
37
-36
11
-8
36
-36
0
-4
30
-28
23
-20
37
-36
11
-8
36
-36
0
Приложения:

Ответ дал:
0
надеюсь поймешь тяжело здесь писать столбиком (
Вас заинтересует
2 года назад
7 лет назад
7 лет назад
10 лет назад
10 лет назад