Ответы
Ответ дал:
0
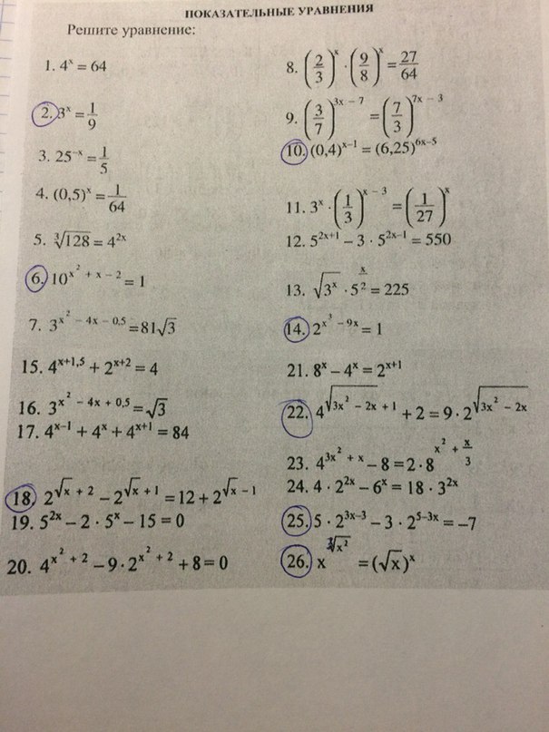
10. (2/5) ^(x -1) =((5/2)²) ^(6x -5) ;
(5/2) ^(1 -x) =(5/2) ^2(6x -5) ;
1 -x =2(6x -5)⇒x =11/13.
---
18. 2 ^(√x+2) - 2 ^(√x+1) =12+ 2 ^(√x-1) ;
2 ^(√x-1) (2³ -2² -1) =12 ;
3*2 ^(√x-1) =12 ;
2 ^(√x-1) =2²⇔√x-1 =2⇒x =9.
---
22. 4^(√(3x² -2x)+1) +2 =9*2^√(3x² -2x) ;
ОДЗ: 3x² -2x ≥0.
4*(2^√(3x² -2x))² - 9*2^√(3x² -2x) +2 =0 ; * * * t =2^√(3x² -2x) >0 * * *
4t² -9t +2 =0 ;
D =9² -4*4*2 =81 - 32 =49 =7².
t₁ =(9-7)/8 =1/4 ⇒2^√(3x² -2x) = 2 ^(-2) ⇒√(3x² -2x) = -2 нет решения.
t₂ =(9+7)/8 =2 ⇒ 2^√(3x² -2x) = 2 ⇒ 3x² -2x =1 ∈ ОДЗ .
3x² -2x -1 =0 ;
x₁ =(1 -2)/3 = -1/3 .
x₂ =(1 +2)/3 =1 .
ответ: -1/3 ; 1.
---
25. 5*2^(3x -3) - 3*2^(5-3x) = -7 ;
5*2^(3x -3) - 3*2^(3-3x)*2² = -7 ;
5*2^(3x -3) - 12*2^(3-3x) = -7 ; * * *2^(3-3x) =(2 ^(3x-3)) ^(-1) =1/(2 ^(3x-3)) * * *
5*2^(3x -3) - 12/2^(3x-3) = -7 ; * * * замена: t =2^(3x-3) >0 * * *
5t -12/t +7 =0 ;
5t² +7t -12 =0 ;
t₁ =(-7 -17)/10 = -12/5 < 0 не решения .
t₂ =((-7 +17)/10=1 ⇒2^(3x-3) =1 ⇔2^(3x-3) =2⁰⇒x=1.
ответ: 1.
---
26.. x^(∛x²) =(√x)^ x ;
ОДЗ: x > 0.
x =1 корень, а если x ≠ 1, то
x^(∛x²) =(x)^ ((1/2)*x) ;
∛x² =x/2 ⇔x² =x³/8 ⇒ x²(x -8) =0 ⇒x₁ =0 ∉ ОДЗ и x₂ =8 .
ответ: 1 ; 8.
**********
кажется все УДАЧИ !
(5/2) ^(1 -x) =(5/2) ^2(6x -5) ;
1 -x =2(6x -5)⇒x =11/13.
---
18. 2 ^(√x+2) - 2 ^(√x+1) =12+ 2 ^(√x-1) ;
2 ^(√x-1) (2³ -2² -1) =12 ;
3*2 ^(√x-1) =12 ;
2 ^(√x-1) =2²⇔√x-1 =2⇒x =9.
---
22. 4^(√(3x² -2x)+1) +2 =9*2^√(3x² -2x) ;
ОДЗ: 3x² -2x ≥0.
4*(2^√(3x² -2x))² - 9*2^√(3x² -2x) +2 =0 ; * * * t =2^√(3x² -2x) >0 * * *
4t² -9t +2 =0 ;
D =9² -4*4*2 =81 - 32 =49 =7².
t₁ =(9-7)/8 =1/4 ⇒2^√(3x² -2x) = 2 ^(-2) ⇒√(3x² -2x) = -2 нет решения.
t₂ =(9+7)/8 =2 ⇒ 2^√(3x² -2x) = 2 ⇒ 3x² -2x =1 ∈ ОДЗ .
3x² -2x -1 =0 ;
x₁ =(1 -2)/3 = -1/3 .
x₂ =(1 +2)/3 =1 .
ответ: -1/3 ; 1.
---
25. 5*2^(3x -3) - 3*2^(5-3x) = -7 ;
5*2^(3x -3) - 3*2^(3-3x)*2² = -7 ;
5*2^(3x -3) - 12*2^(3-3x) = -7 ; * * *2^(3-3x) =(2 ^(3x-3)) ^(-1) =1/(2 ^(3x-3)) * * *
5*2^(3x -3) - 12/2^(3x-3) = -7 ; * * * замена: t =2^(3x-3) >0 * * *
5t -12/t +7 =0 ;
5t² +7t -12 =0 ;
t₁ =(-7 -17)/10 = -12/5 < 0 не решения .
t₂ =((-7 +17)/10=1 ⇒2^(3x-3) =1 ⇔2^(3x-3) =2⁰⇒x=1.
ответ: 1.
---
26.. x^(∛x²) =(√x)^ x ;
ОДЗ: x > 0.
x =1 корень, а если x ≠ 1, то
x^(∛x²) =(x)^ ((1/2)*x) ;
∛x² =x/2 ⇔x² =x³/8 ⇒ x²(x -8) =0 ⇒x₁ =0 ∉ ОДЗ и x₂ =8 .
ответ: 1 ; 8.
**********
кажется все УДАЧИ !
Вас заинтересует
3 года назад
3 года назад
8 лет назад
10 лет назад
10 лет назад
11 лет назад
11 лет назад