Ответы
Ответ дал:
0
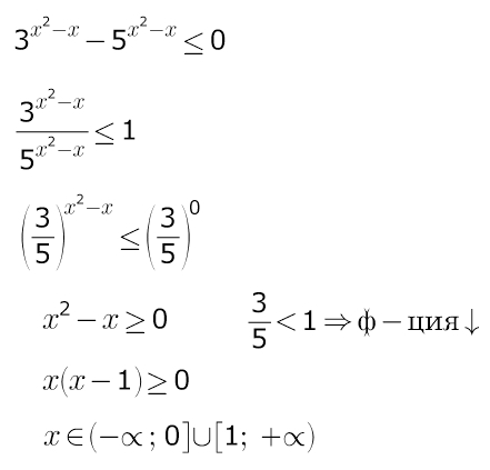
можно заметить, что показатели степени одинаковые...
обе части неравенства можно разделить на 5 в степени(...) --это число всегда строго больше нуля)))
обе части неравенства можно разделить на 5 в степени(...) --это число всегда строго больше нуля)))
Приложения:

Вас заинтересует
2 года назад
7 лет назад
7 лет назад
10 лет назад
10 лет назад
10 лет назад