• Предмет: Алгебра
  • Автор: Аноним
  • Вопрос задан 10 лет назад

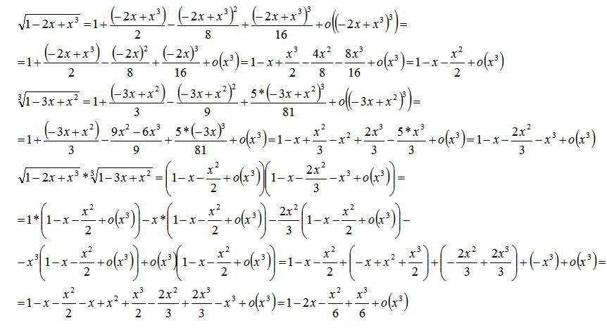
Написать разложение по целым положительным степеням переменной x до x^3  включительно, используя формулу Маклорена:

 sqrt{1-2x+x^3}*sqrt[3]{1-3x+x^2} .

Работать с остаточным членом в форме Пеано.

Ответы

Ответ дал: IUV
0
смотри решение во вложении
Приложения:
Ответ дал: Аноним
0
Спасибо, вы терпеливый человек)
Ответ дал: IUV
0
)))
Вас заинтересует