Ответы
Ответ дал:
0
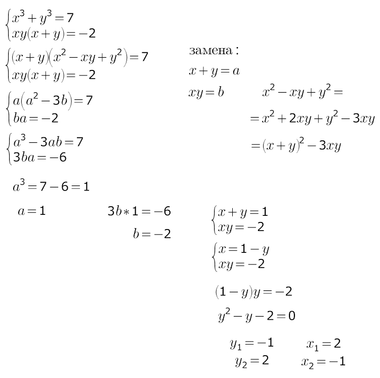
с помощью замены...
и формул)))
здесь формула "сумма кубов" и удобно выделить полный квадрат суммы))
и формул)))
здесь формула "сумма кубов" и удобно выделить полный квадрат суммы))
Приложения:

Вас заинтересует
2 года назад
7 лет назад
7 лет назад
10 лет назад
10 лет назад