Ответы
Ответ дал:
0
a)x-y=3⇒y=x-3
2x²-2xy+y²=10
2x²-2x²+6x+x²-6x+9-10=0
x²=1
x1=-1⇒y1=-1-3=-4
x2=1⇒y2=1-3=-2
(-1;-4);(1;-2)
б)1/x+1/y=3/8⇒x+y=3xy/8
x+y=12
3xy/8=12
xy=32
Применим теорему Виета
x=4 U y=8
x=8 U y=4
(4;8);(8;4)
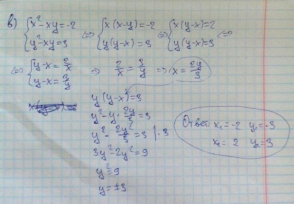
в)x²-xy=-2⇒x(x-y)=-2⇒x-y=-2/x
y²-xy=3⇒-y(x-y)=3⇒x-y=-3/y
-2/x=-3/y⇒2y=3x⇒y=1,5x
x²-1,5x²=-2
-0,5x²=-2
x²=4
x1=-2⇒y1=1>5*(-2)=-3
x2=2⇒y2=3
(-2;-3);(2;3)
2x²-2xy+y²=10
2x²-2x²+6x+x²-6x+9-10=0
x²=1
x1=-1⇒y1=-1-3=-4
x2=1⇒y2=1-3=-2
(-1;-4);(1;-2)
б)1/x+1/y=3/8⇒x+y=3xy/8
x+y=12
3xy/8=12
xy=32
Применим теорему Виета
x=4 U y=8
x=8 U y=4
(4;8);(8;4)
в)x²-xy=-2⇒x(x-y)=-2⇒x-y=-2/x
y²-xy=3⇒-y(x-y)=3⇒x-y=-3/y
-2/x=-3/y⇒2y=3x⇒y=1,5x
x²-1,5x²=-2
-0,5x²=-2
x²=4
x1=-2⇒y1=1>5*(-2)=-3
x2=2⇒y2=3
(-2;-3);(2;3)
Ответ дал:
0
Смотри во вложении ...
Приложения:


Вас заинтересует
2 года назад
7 лет назад
10 лет назад
10 лет назад
10 лет назад