среднее арифметическое трёх чисел ровно 34,3. Одно из них в два раза меньше, чем вторае и в два раза больше, чем третье. Найди числа.
Ответы
Ответ дал:
0
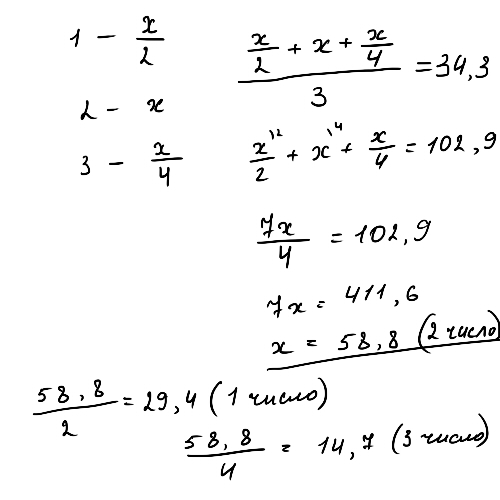
Решение во вложениях))
Приложения:

Ответ дал:
0
ср.ар=34,3
1 число-2х
2 число-2(2х)
3 число-х
(х+2х+ 2*2х):3=34,2
7х:3=34.3
7х=102.9
х=14.7
значит,3 чило=14.7,1число=2*14.7=29.4,а 2 число=2* 29.4=58,8
Приложения:

Вас заинтересует
2 года назад
2 года назад
8 лет назад
10 лет назад
10 лет назад
10 лет назад