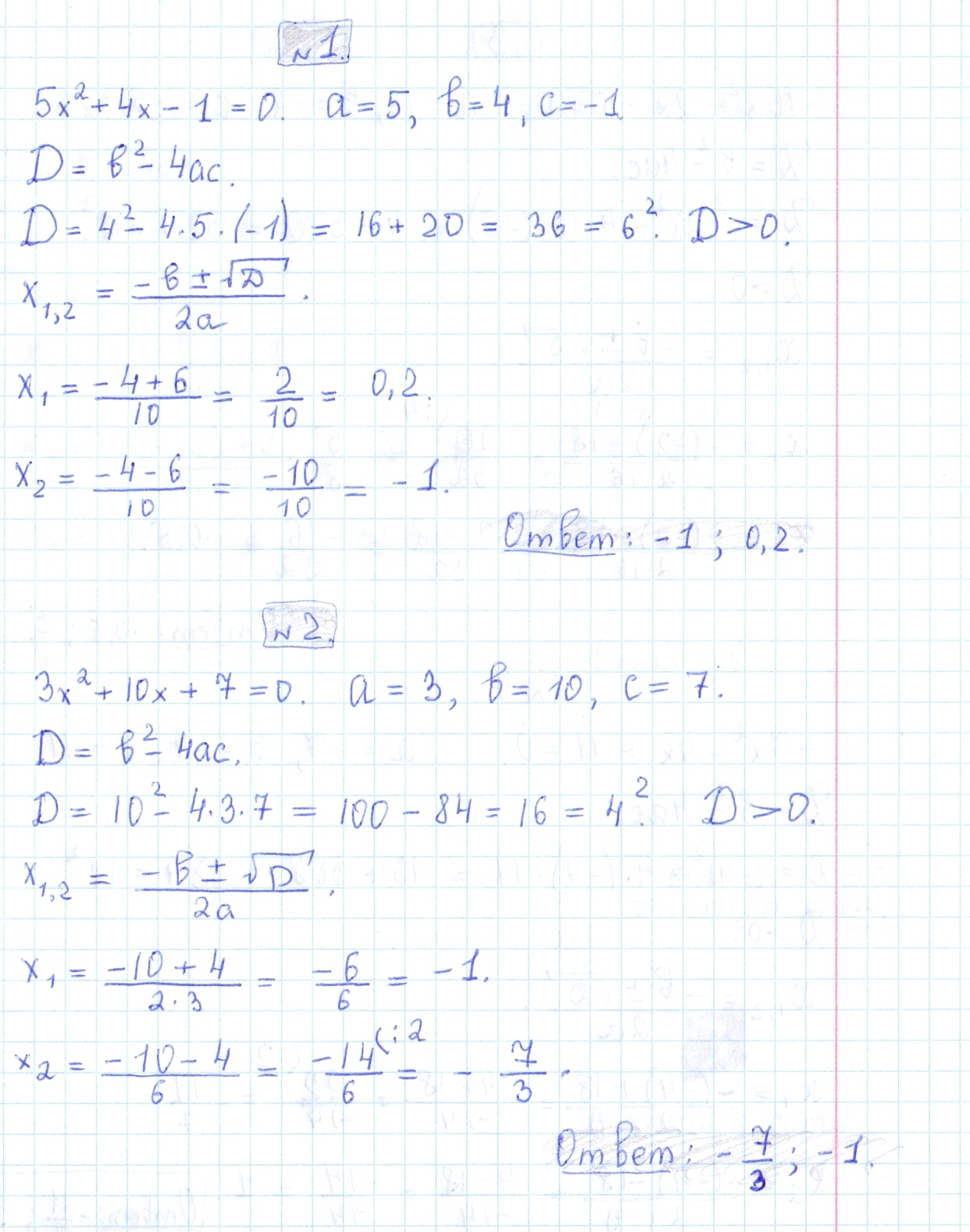
помогите пожалуйсто решить уравнение 1)5х^2+4х-1=0
2)3х^2+10х+7=0
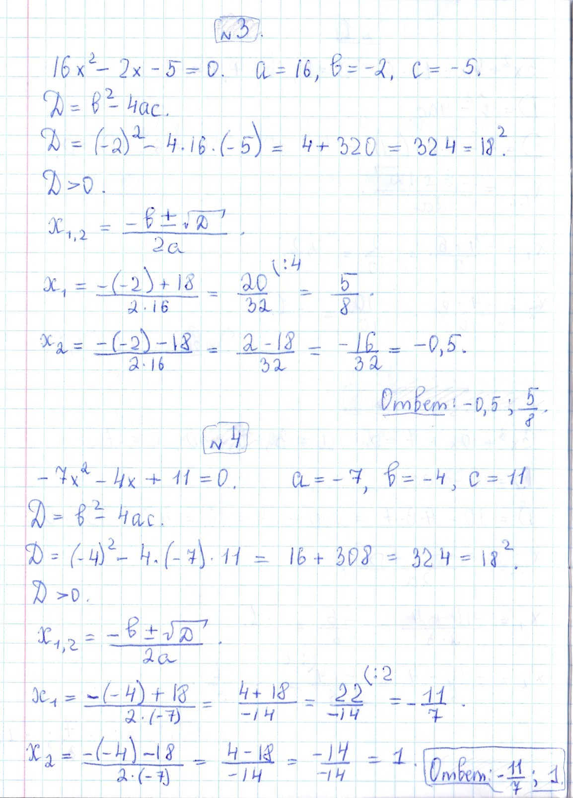
3)16х^2-2х-5=0
4)-7х^2-4х+11=0
5)28х^2-36х+11=0
Ответы
Ответ дал:
0
Решение смотри на картинке.
==========================
==========================
Приложения:
Вас заинтересует
3 года назад
3 года назад
8 лет назад
8 лет назад
10 лет назад
10 лет назад
11 лет назад