• Предмет: Информатика
  • Автор: Турникмен06
  • Вопрос задан 10 лет назад

Раздел 2
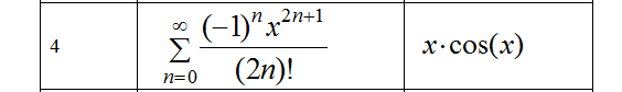
Для x, изменяющегося в интервале от x0 до xk с шагом h, вычислить значения бесконечной суммы S(x) с точностью e=0.00001 и функции y(x).
№ S(x) y(x)

Приложения:

Ответа на этот вопрос пока нет. Попробуйте найти его через форму поиска.

Вас заинтересует