• Предмет: Алгебра
  • Автор: Ksu7890
  • Вопрос задан 11 лет назад

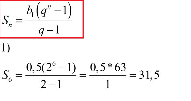
Найдите сумму n первых членов геометрической прогрессии, если : 1) b1=1/2(одна вторая) q=2, n=6 3)b1=1, q=-1/3, n=4 5)b1=6, q=1,n=200

Ответы

Ответ дал: Аноним
0

всё решается по этой формуле

предыдущий ответ неверный!

первый пример расписал - остальное дело техники!

удачи

см.влож

 

 

Приложения:
Вас заинтересует