Пожалуйста помогите!!!!! Разложите многочлен на множители:
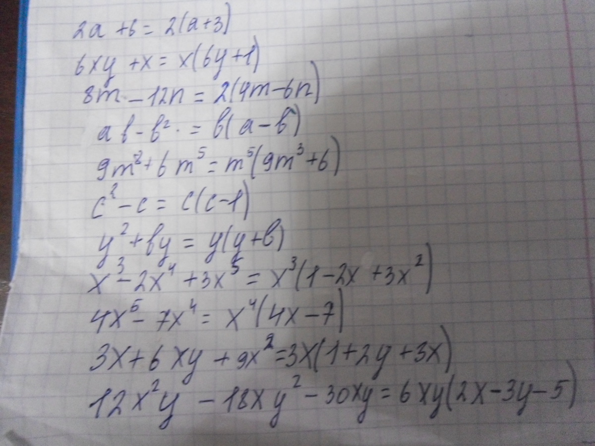
1) 2а+6
2) 6xy+x
3) 8m-12n
4) ab-b^2
5) 9m^8+6m^5
6) c^2-c
7) y^2+by
8)x^3-2x^4+3x^5
9) 4x^5-7x^4
10) 3x+6xy+9x^2
11) 12x^2y-18xy^2-30xy
Число стоящее после такого значка ^ это степень.
Прошу помочь, срочно надо уже завтра утром!
Ответы
Ответ дал:
0
Вот так.........................
Приложения:
Ответ дал:
0
Спасииибоооо
Ответ дал:
0
незачто
Ответ дал:
0
1) 2а+6=2 (а+3)
2) 6ху+у=у (6х+1)
3) 8m-12n=4 (2m-3n)
С четвертого пишу только ответ.
4)b (a-b)
5)m^5 (9m^3+6)
6) c (c-1)
7) y (y+b)
8) x^3 (1-2x+3x^2)
9) x^4 (4x-7)
10)3x (1+2y+3x)
11)6xy (6x-4y-5)
Может чем-то поможет!
2) 6ху+у=у (6х+1)
3) 8m-12n=4 (2m-3n)
С четвертого пишу только ответ.
4)b (a-b)
5)m^5 (9m^3+6)
6) c (c-1)
7) y (y+b)
8) x^3 (1-2x+3x^2)
9) x^4 (4x-7)
10)3x (1+2y+3x)
11)6xy (6x-4y-5)
Может чем-то поможет!
Приложения:
Ответ дал:
0
Спасибо огромное
Вас заинтересует
2 года назад
2 года назад
8 лет назад
8 лет назад
10 лет назад
10 лет назад
10 лет назад