Постройте в одной системе координат графики ф-й
y=-1/3x+1 ;
y=-1/3x-2;
y=-1/3x.
1) чему равен угловой коэффициент каждой прямой ;
2)каково взаимное расположение графиков данных ф-й;
3)каковы координаты пересечения каждого графика осями координат ?
Ответы
Ответ дал:
0
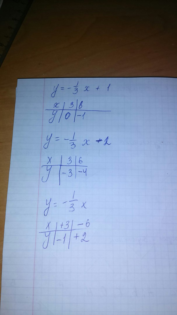
1) угловой коэффициент каждой прямой -1/3
2)каждая функция параллельна другой
3) первая прямая (3;1)
вторая прямая (0;0)
третья прямая (-6;-2)
2)каждая функция параллельна другой
3) первая прямая (3;1)
вторая прямая (0;0)
третья прямая (-6;-2)
Приложения:


Вас заинтересует
2 года назад
2 года назад
7 лет назад
7 лет назад
10 лет назад
10 лет назад
10 лет назад