Помогите решить 2 задачки по физике, пожалуйста с: (Электродинамика, электромагнитные колебания)
Надеюсь, что почерк понятен
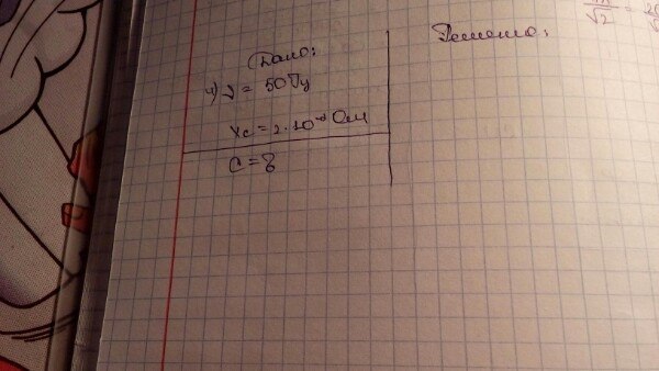
1. ню = 50 Гц
xc = 2 на на 10 в степени -2 Ом
Найти С
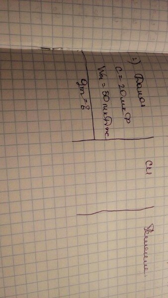
2. С= 20 мкФ
Wм= 50 мкДж
Найти qm
Приложения:


Ответы
Ответ дал:
0
1) Хс=1/ωC =1/2πvC ⇒ C=1/2πvXc
C=1/2π*50*2*10⁻² ≈0,16 Ф
2) W=qm²/2C ⇒ qm²=W*2C
qm=√W*2C
qm=√(50*10⁻⁶ *2*20*10⁻⁶)=45*10⁻⁶ Кл=45 мкКл
C=1/2π*50*2*10⁻² ≈0,16 Ф
2) W=qm²/2C ⇒ qm²=W*2C
qm=√W*2C
qm=√(50*10⁻⁶ *2*20*10⁻⁶)=45*10⁻⁶ Кл=45 мкКл
Ответ дал:
0
Спасибо большое!
Вас заинтересует
2 года назад
7 лет назад
10 лет назад
10 лет назад